Solar distillation

Solar distillation is the use of solar energy to evaporate water and collect its condensate within the same closed system. Unlike other forms of water purification it can turn salt or brackish water into fresh drinking water (i.e. desalination). The structure that houses the process is known as a solar still and although the size, dimensions, materials, and configuration are varied, all rely on the simple procedure wherein an influent solution enters the system and the more volatile solvents leave in the effluent leaving behind the salty solute behind.[1]
Solar distillation differs from other forms of desalination that are more energy-intensive, such as methods such as reverse osmosis, or simply boiling water due to its use of free energy.[2][3] A very common and, by far, the largest example of solar distillation is the natural water cycle that the Earth experiences.
History


The earliest onset of solar energy use to desalinate water is widely accredited to Aristotle during the fourth century B.C.E.[4][5][6] [7] Earlier attributions reference the Bible & Moses' use of a piece of wood to remove the "bitterness" from water (Exodus 15:25, English Standard Version). The first documented account of solar distillation use for desalination was by Giovani Batista Della Porta in 1958.[4]However, no solar distillation publication of any repute leaves out the Father of solar distillation, Carlos Wilson, the creator of the first modern sun-powered desalination plant, built in Las Salinas (The Salts), Chile in 1872.[4][7] [8] [9] [10]
[11]This desalination plant, "can be considered to be the first industrial installation for exploitation of solar energy[11]." The Las Salinas plant was envisioned to take advantage of the nearby saltpeter mining effluent to supply the miners and their families freshwater [4]. The facility was quite large for its time and now:
"The plant was constructed of wood and timber framework covered with one sheet of glass. It consisted of 64 bays having a total surface area of 4450 m2 and a total land surface area of 7896 m2. It produced 22.70 m3 of fresh water per day. The plant was in operation for about 40 years until the mines were exhausted[4]."
Interest in solar distillation wavered for some time, until historical events prompted further research and development. World War II was a great catalyst for the Massachusetts Institute of Technology to develop appropriate solar stills for use in more remote areas of the world during emergencies. These small solar stills were made to float on and collect saltwater to desalt as they floated alongside life-boats and rafts[4]. More significant studies into solar distillation were carried out by the Office of Saline Water, a sector the US government, in 1952. Many experiments were performed on different conceptualizations of the solar still, including multiple-effect basins and the application of condensers[4]. This trend ended near the early 70's with the advent of more lucrative desalination techniques like the aforementioned reverse osmosis or multi-stage flash, a technique that involves a series of stages where evaporation relies on lowering the pressure of each stage to lower the boiling or "flashing" point of the water [12][13] Today, renewed enthusiasm for solar distillation comes from individuals, communities, and organizations seeking an appropriate technology that is cheap, simple, and conceivable in rural settings.[14]
Design


The fundamental aspects of a solar still have gone unchanged since ancient times, the simplicity of the design is one of the solar still's chief benefits. However, there are many variations on the theme of the typical single slope/basin still and these can fall into one of two categories, active or passive. These labels classify the still by the method it uses to acquire the energy to drive the evaporation of the water. Passive solar stills are, of course, more conventional and have been the only ones discussed up to this point. Active stills, however, can obtain "waste" heat from a myriad of sources. A good insulator is necessary to reduce thermal losses and prolong the evaporation process even into the night[16].[17] Insulation that could be used include things like styrofoam with a polypropylene cover, or wool (which, can retain some of its insulation even when wet)[18].[19]
Passive Solar Stills
Conventional solar stills rely solely on the sun to distill water, however their complexity could still reach that of active stills, if not other more intricate desalination methods. Passive stills, then, vary widely due to this one constraint and can be further organized into sub-classes. Some common types of passive solar stills include[13]:
- Single-effect
- Multi-effect
- Basin
- Double Slope
- Wick
- Multi-wick
- Diffusion
- Greenhouse
Single-effect stills are the simplest and most common, since only one interface is necessary to convey the energy and collect the condensate. An example of a crucial design challenge in all solar stills is keeping the distiller airtight. If not airtight, efficiency drops severely [7].Often a shallow trough is used, painted black, and flooded. A slanted pane of glass covering, allowing condensed water vapor to slide down into an output channel. Expect 1 gallon per day per square meter of glass. Another approach is molded plastic, e.g. the Watercone (see below). This has the advantage that it is can be more easily made airtight, and mass production should make it affordable.
Multi-effect stills require double the effort in regards to ensuring tight seals, and could be more to difficult to clean, but they can raise the production of freshwater significantly.[20] The way, by which, the water is stored for its time in the liquid phase can also contrast.
Basin-type stills contain the water in an impervious material that is a component of the entire enclosure and are the most ubiqutious.
Wick stills use cloth-like materials that use capillary action to propagate the water through the system. When efficiency and effectiveness are key, wick stills out-produce basin stills due to the greater surface area of evaporation, lower energy cost to heat the water, and ability to create a much larger effective area for solar radiation to transfer energy into the water.[21]
Multi-wick stills obviously play off of typical wick stills and much like the multi-effect premise from above, they greatly increase the productivity for increasing the influenced surface area exponentially.[22]
Diffusion-type stills run with the ideas introduced by the mutli-effect & -wick stills and a further advancement to both. Perhaps, Tanaka & Nakatake best explain the design behind these efficient stills, "which consist of a series of closely spaced parallel partitions in contact with saline-soaked wicks, have great potential because of their high productivity and simplicity.[23]"
One more variation on solar stills is caught in the middle of the two predetermined categories of passive and active, and could perhaps be labeled "neutral". Seawater Greenhouses (i.e. Kiva's straw bale greenhouse) marry the concept of solar distillation with the more prominent greenhouse premise. They are neutral because the energy that goes in to create the freshwater, even if active, pays off by the freshwater's invaluable quality to grow the plants that promote the evaporative cooling of the air inside, which, ultimately carries the moisture.[24]

Active Solar Stills
These distillers use additional heat sources to promote existing thermal processes.[25] The foundation of the design of these desalters has already been lain in the above section, so the sources involved with this branch of solar stills will be discussed with brevity:
Active stills add another element of complexity to the not so complex base design, but once again this alteration can promote faster, and larger quantities of freshwater generation.
Theory
The immediate abstraction to make is to the Earth's natural system, but as it was aforementioned, this is unjustified but only if one believes that the water cycle on Earth is a non-complex concept. In "Understanding Solar Stills" it is said,
"It takes a lot of energy for water to vaporize. While a certain amount of energy is needed to raise the temperature of a kilogram of water from 0 to 100 Celcius (C), it takes five and one-half times that much to chnage it from water at 100°C to water vapor at 100°C. Practically all this energy, however, is given back when the water vapor condenses... This is the way we get fresh water in the clouds from the oceans, by solar distillation. All the fresh water on earth has been solar distilled.[7]"
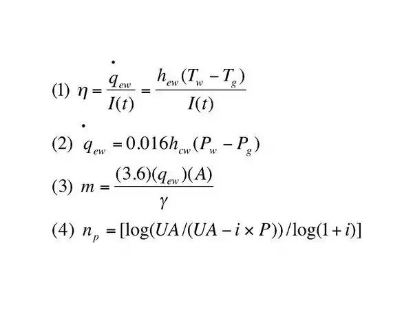
The journey for a water molecule from the aqueous to gaseous phase is more difficult to acquiesce than the eloquent writing above. As we will see a tremendous factor will be the difference in temperature between the surface water and that of the interface, be it glass or plastic. Some relevant equations include:[28]

Eqn. (1) from the above describes the instantaneous thermal efficiency in relation to the evaporative heat transfer rate from the water surface to the glass cover the solar radiation intensity. Eqn.(2) represents the evaporative heat transfer rate from Eqn. (1) and its relationship to product of the convective heat transfer coefficient from the water surface to glass difference between the partial vapor pressure of water and gas. Eqn.(3) is the equation for determining the monthly output of distillate. Eqn.(4) was developed to describe the pay back period, np as a function of the Unacost, or the uniform end-of-year annual amount with P being the initial cost and i the interest rate.
Construction
Many different methods exist to build solar stills, the most rudimentary involves digging a hole and more the more complex coming off of a manufacturing line.
Common Materials List[7]:
- insulation (usually under the basin)
- sealants
- piping and valves
- facilities for storage
- a reflector to concentrate sunlight
- structural components
- wicking fabrics
- blackened wood
- black jute
- black polyethylene
Locally available materials would always be preferred but many things, such as the sealants, might be necessary to find from foreign vendors[6]. A very practical and thorough tutorial on how to build a small-scale solar still is available here: "A Small Homemade Solar Still"
Operation and Maintenance
Since one of the main goals of solar distillation is to provide a clean source of water, proper disinfection after construction is crucial. Some less intensive methods of cleaning could be use of soap or laundry detergent[7]. A glass cover is more advantageous with respect to maintenance than a plastic cover, due to the electrostatic properties of plastic that can make it a beacon for detritus[14]. The brine left over after thorough distillation can be harvested for sea salt, as it is now a valuable commodity in its own right.[29]
Real World
In "Social aspects of a solar-powered desalination unit for remote Australian communities" Warner & Schafer argue that many journals, researchers and others like them rely too much on the technical aspects of solar distillation to prove its worth, "in order to be socially sustainable, such technologies must:
- be accepted by the community,
- meet their water needs, and
- be within their capacity to operate and maintain.[30]" The situation that exists today has not changed much from even 50 years ago. Energy and cost intensive technologies still champion over desalination in the modern world.[31]
For this reason, many developing countries and communities, on large and small-scale levels resort to the status quo, when more appropriate resorts exist.[32]
Existing Products
The Watercone® is a solar powered water desalinator. It is claimed to be simple to use, lightweight and mobile. It is designed to produce 1.5 liters a day.
The WATERCONE® is a long lasting UV resistant Poly Carbonate product and can be used up to 5 years daily. The material is non-toxic, non-flammable and 100% recyclable. The black pan for the saltwater is already made out of 100% recycled PC. Even when the WATERCONE® becomes old and tarnished, it can still be used to collect rain water, as a roof panel or container for other goods.
The Watercone® project is looking for investors and companies to initiate mass production tooling and distribution. So the Watercone can be manufactured for a lower price and become affordable to the people in need... Single products are not available at the moment!
Cost: The planned price is below € 20,. Solar distillation needs to become much cheaper than this before it can achieve widespread use by the poor. The website states that this works out cheaper than bottled water at $.50 per liter once it is used for a number of months; however the target market cannot afford to buy bottled water, so this is not a useful comparison. If they do buy water, it is more likely to be from water refill stations which charge around $.03 per liter in major cities in Asia. In isolated areas, the costs increase a lot, but they would need to increase far beyond $.03 per liter to justify the investment by a poor person or family - especially when it would be difficult to guard against theft. Thus it looks like they're only useful where safe water is exceptionally expensive, or simply unavailable. Even then, other options for purifying the water would need to be weighed up. If these things were mass-produced for more like 1 euro or less each, they might be an option for widespread use - and this would be a more reasonable price for mass-produced pieces of molded plastic (even if they are very cleverly designed pieces of molded plastic).
Watercone external links
- EcoGeek, August 2007
- Watercone - An Ingenious Way To Turn Salt Water Into Fresh Water - The Sietch Blog, August 2007
- Watercone - WorldChanging.com, July 2006,
External links
- Wikipedia:Solar distillation
- Cryptogon Freak Labs Presents: Solar Water Distillation, 3/17/2004 (halfway down the page). Homemade solar still.
References
- ↑ (2008). Desalination, a national perspective. National Research Council of the National Academies.
- ↑ Abu-Arabi, M. (2007). Status and prospects for solar desalination in the MENA region. Solar Desalination for the 21 st Century, 163-178.
- ↑ Paton, C., & Davies, P. (2006). The seawater greenhouse cooling, fresh water and fresh produce from seawater. In The 2nd International Conference on Water Resources in Arid Environments, Riyadh.
- 1 2 3 4 5 6 7 8 9 Delyannis, E. (2003). Historic background of desalination and renewable energies. Solar Energy, 75(5), 357-366.
- ↑ Tiwari, G. N., Singh, H. N., & Tripathi, R. (2003). Present status of solar distillation. Solar Energy, 75(5), 367-373.
- 1 2 Velmurugan, V., & Srithar, K. (2011). Performance analysis of solar stills based on various factors affecting the productivity—A review. Renewable and Sustainable Energy Reviews, 15(2), 1294-1304.
- 1 2 3 4 5 6 Gordes, J., & McCracken, H. (1985). Understanding Solar Stills. Volunteers in Technical Assistance (VITA).
- ↑ Al-Hayeka, I., & Badran, O. O. (2004). The effect of using different designs of solar stills on water distillation. Desalination, 169(2), 121-127.
- ↑ Goosen, M. F., Sablani, S. S., Shayya, W. H., Paton, C., & Al-Hinai, H. (2000). Thermodynamic and economic considerations in solar desalination. Desalination, 129(1), 63-89.
- ↑ Bouchekima, B. (2003). A small solar desalination plant for the production of drinking water in remote arid areas of southern Algeria. Desalination, 159(2), 197-204.
- 1 2 Hirschmann, J. R. (1975). Solar distillation in Chile. Desalination, 17(1), 31-67.
- ↑ El-Dessouky, H. T., Ettouney, H. M., & Al-Roumi, Y. (1999). Multi-stage flash desalination: present and future outlook. Chemical Engineering Journal, 73(2), 173-190.
- 1 2 3 Fath, H. E. (1998). Solar distillation: a promising alternative for water provision with free energy, simple technology and a clean environment. Desalination, 116(1), 45-56.
- 1 2 Eibling, J. A., Talbert, S. G., & Löf, G. O. G. (1971). Solar stills for community use—digest of technology. Solar energy, 13(2), 263-276.
- ↑ Ettouney, H., & Rizzuti, L. (2007). SOLAR DESALINATION: A CHALLENGE FOR SUSTAINABLE FRESH WATER IN THE 21 ST CENTURY. Solar Desalination for the 21 st Century, 1-18.
- ↑ Löf, G. O. (1961). Fundamental problems in solar distillation. Proceedings of the National Academy of Sciences of the United States of America, 47(8), 1279.
- ↑ Goosen, M. F., Sablani, S. S., Shayya, W. H., Paton, C., & Al-Hinai, H. (2000). Thermodynamic and economic considerations in solar desalination. Desalination, 129(1), 63-89.
- ↑ Ihalawela, P. H. C. A., & Careem, M. A. (2007). A cheap automatic solar water distiller. In Proceedings of the technical sessions (Vol. 23, pp. 41-45).
- ↑ BACHA, H., Maalej, A. Y., & DHIA, H. B. (2007). A Methodology to Predict Operation of a Solar Powered Desalination Unit. Solar Desalination for the 21 st Century, 69-82.
- ↑ Blanco, J., & Alarcón, D. (2007). The PSA experience on solar desalination: technology development and research activities. Solar Desalination for the 21 st Century, 195-206.
- ↑ Noble, Neil (2012). Solar Distillation. Retrieved from http://http://practicalaction.org/solar-distillation-1
- ↑ Velmurugan, V., & Srithar, K. (2011). Performance analysis of solar stills based on various factors affecting the productivity—A review. Renewable and Sustainable Energy Reviews, 15(2), 1294-1304.
- ↑ Tanaka, H., & Nakatake, Y. (2007). Outdoor experiments of a vertical diffusion solar still coupled with a flat plate reflector. Desalination, 214(1), 70-82.
- 1 2 Paton, C., & Davies, P. (2006). The seawater greenhouse cooling, fresh water and fresh produce from seawater. In The 2nd International Conference on Water Resources in Arid Environments, Riyadh.
- ↑ AYBAR, H. (2007). A review of desalination by solar still. Solar Desalination for the 21 st Century, 207-214.
- ↑ Kabeel, A. E., & El-Agouz, S. A. (2011). Review of researches and developments on solar stills. Desalination, 276(1), 1-12.
- ↑ Mandaville, J. (1972). Some Experiments with Solar Ground Stills in Eastern Arabia. Geographical Journal, 64-66.
- ↑ Medugu, D. W., & Ndatuwong, L. G. (2009). Theoretical analysis of water distillation using solar still. International Journal of Physical Sciences, 4(11), 705-712.
- ↑ KOPSCH, O. (2007). SOLAR STILLS: 10 YEARS OF PRACTICAL EXPERIENCE IN COMMERCIALISING SOLAR STILLS WORLDWIDE. Solar Desalination for the 21 st Century, 239-246.
- ↑ Werner, M., & Schäfer, A. I. (2007). Social aspects of a solar-powered desalination unit for remote Australian communities. Desalination, 203(1), 375-393.
- ↑ Chaibi, M. T. (2000). An overview of solar desalination for domestic and agriculture water needs in remote arid areas. Desalination, 127(2), 119-133.
- ↑ Bloemer, J. W., Eibling, J. A., Irwin, J. R., & Löf, G. O. (1965). A practical basin-type solar still. Solar Energy, 9(4), 197-200.