Greenhouse waste heat exchange

| This page is part of a Michigan Tech's Open Sustainability Technology Research Group project exploring industrial symbiosis of large-scale solar photovoltaic manufacturing plants. By coupling traditionally separate industries in the physical exchange of materials, energy, water, and by-products we can reduce environmental impact while providing companies with an economic competitive advantage. Learn more.
Industrial symbiosis in photovoltaic manufacturing- the Big Picture | Glass+PV plant | Silane recycling | Glass+Greenhouse |
Introduction
All industrial processes generate waste. The form of this waste can be in discarded items, unused materials, or waste energy which is not used for the creation of the end product. However, items that are seen as waste and a liability to one company are in many cases seen as useful inputs to other industrial processes. An industrial system which takes advantage of this principle can go by many names but is generally described as industrial ecology, or industrial symbiosis, wherein traditionally disparate industries can work together to produce environmental and financial benefits for both companies. There have been many successful industrial symbiosis projects worldwide, and the purpose of this project is to highlight another potential symbiosis, with the combination of flat glass manufacturing and tomato greenhouse agriculture.
It should be noted that the choice of these two industrial segments is meant to represent the possible symbiosis between an industry utilizing a large natural gas furnace (such as iron smelting, power generation, or cement kilns) and a greenhouse requiring large volumes of low temperature thermal energy, which could also include other vegetable or floricultural crops. The choice of these two industries in particular was to support previous research into the Industrial symbiosis in photovoltaic manufacturing as seen in the figure below.[1]

Schematic diagram of Industrial symbiosis in photovoltaic manufacturing. The highlighted red area is the industries studied in this project.
The full analysis can be found here:
- Rob Andrews and Joshua Pearce, “Environmental and Economic Assessment of a Greenhouse Waste Heat Exchange”, Journal of Cleaner Production 19, pp. 1446-1454 (2011). http://dx.doi.org/10.1016/j.jclepro.2011.04.016 open access.
Goals
The goals of this research were the following:
- Determine the waste heat availability from a realistic flat glass manufacturing plant
- Create a parametrized model of greenhouse heating requirements from previous literature
- Determine the size of greenhouse which could be successfully heated using waste thermal energy from the flat glass plant
- Analyze the financial and environmental benefits of such a system
Analysis
The information relating to thermal outputs of a flat glass plant was taken from the IAC-ITP database for a large scale flat glass plant in the northern US. The waste heat resource was then calculated assuming 30% of energy released in the furnace will be rejected as waste heat, and assuming that a non-condensing waste heat boiler will be utilized. It was found that 5.1MW of waste heat is available from a typical 500 ton per day flat glass plant
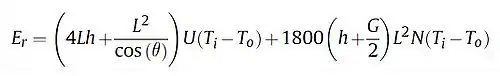
In order to determine the size of a greenhouse which can be supported by this amount of waste heat, a parametrized equation to solve for the linear dimension of a square gabled greenhouse was derived and is given by:


This resulted in a maximum size of greenhouse which could be maintained at an acceptable temperature at night on the coldest day of the year in Ontario at 3.9 acres. Because this is not a common operating condition, it is likely that the addition of supplemental heat for days of extreme cold could increase the area supported which could be heated entirely from the plant for the majority of the year.
Economics
A greenhouse of this size can produce $1.3 million in revenue from tomato crops in a year. Accounting for the costs of installing a waste heat boiler system, and performing a sensitivity analysis over a range of installation costs and financing options, it was found that the additional cost of installing a waste heat system creates a positive net present value for costs of natural gas above $6/PJ in most cases.
Environmental impact
There were three situations considered for the environmental impact. Because greenhouses require supplementary carbon dioxide (CO2) to optimize plant growth, this can be provided either from liquified CO2, or from the products of combustion. Therefore the three cases considered were:
The greenhouse industry in Ontario is the largest in Canada, accounting for over 11 million square meters of covered agricultural land, or more than half of Canada's total 21 million square meters of covered land. These greenhouses produce both vegetable and floricultural products, however tomatoes are the most highly produced vegetable in Ontario at 3 million square meters of covered land, the total of all floricultural agricultural land equals just over 4 million square meters.
- Waste heat greenhouse and natural gas burning greenhouse utilize liquified CO2: 1728t CO2 mitigated per year
- Waste heat greenhouse utilizes liquified CO2 and natural gas burning greenhouse utilizes combustion products: 1042t CO2 mitigated per year
- Both waste heat and natural gas burning greenhouse utilize combustion products: 2125t CO2 mitigated per year
An interesting synergy which presents itself from this study is that the use of combustion CO2 requires the installation of emissions controls technologies beyond what are currently required in the industry. However, by installing these technologies, the plant makes available an increased revenue from the sale of greenhouse products, and is not required to purchase liquified CO2, which has a value of 2.1$ million over 20 years. This can help the plant “tunnel through the cost barrier - when forced to adhere to future stringent emissions controls technologies.
See Also
- A literature review pertaining to industrial symbiosis can be found at the Industrial symbiosis literature review
- Industrial symbiosis in photovoltaic manufacturing
- Joshua M. Pearce, “Industrial Symbiosis for Very Large Scale Photovoltaic Manufacturing”, Renewable Energy 33, pp. 1101–1108, 2008. http://dx.doi.org/10.1016/j.renene.2007.07.002 Open access
- Industrial symbiosis in glass and solar photovoltaic manufacturing
- Amir H. Nosrat, Jack Jeswiet, and Joshua M. Pearce, “Cleaner Production via Industrial Symbiosis in Glass and Large-Scale Solar Photovoltaic Manufacturing”, Science and Technology for Humanity (TIC-STH), 2009 IEEE Toronto International Conference, pp.967-970, 26-27 Sept. 2009.http://dx.doi.org/10.1109/TIC-STH.2009.5444358
References
- ↑ Joshua M. Pearce, “Industrial Symbiosis for Very Large Scale Photovoltaic Manufacturing”, Renewable Energy 33, pp. 1101–1108, 2008. http://dx.doi.org/10.1016/j.renene.2007.07.002
In the News
- Growing tomatoes using waste heat Queen's News
- Researchers to Grow Tomatoes with Industrial Waste Heat - Kingston Herald
- Don’t let waste heat go to waste: researchers - Canadian Manufacturing
- Canada: Researchers to grow tomatoes with industrial waste heat - Fresh Plaza
- Green idea - Kingston Whig Standard
- Fruits of Computing: Redefining “Green” in HPC Energy Usage - Cluster Design
- Why You are in the Pocket of Big Recycling - Eco-Thrift Living