wikiHow is a “wiki,” similar to Wikipedia, which means that many of our articles are co-written by multiple authors. To create this article, 28 people, some anonymous, worked to edit and improve it over time.
There are 9 references cited in this article, which can be found at the bottom of the page.
This article has been viewed 562,172 times.
Learn more...
The derivative is an operator that finds the instantaneous rate of change of a quantity, usually a slope. Derivatives can be used to obtain useful characteristics about a function, such as its extrema and roots.[1] Finding the derivative from its definition can be tedious, but there are many techniques to bypass that and find derivatives more easily.
Steps
Method 1
Method 1 of 3:Preliminaries
-
1Understand the definition of the derivative. While this will almost never be used to actually take derivatives, an understanding of this concept is vital nonetheless.
- Recall that the linear function is of the form To find the slope of this function, two points on the line are taken, and their coordinates are plugged into the relation Of course, this can only be used with linear graphs.
- For nonlinear functions, the line will be curved, so taking the difference of two points can only give the average rate of change between them. The line that intersects these two points is called the secant line, with a slope where is the change in and we have replaced with This is the same equation as the one before.
- The concept of the derivatives comes in when we take the limit When this happens, the distance between the two points shrinks, and the secant line better approximates the rate of change of the function. When we do send the limit to 0, we end up with the instantaneous rate of change and obtain the slope of the tangent line to the curve (see animation above).[2]
Then, we end up with the definition of the derivative, where the prime symbol denotes the derivative of the function
- Finding the derivative from this definition stems from expanding the numerator, canceling, and then evaluating the limit, since immediately evaluating the limit will give a 0 in the denominator.
-
2Understand the derivative notation. There are two common notations for the derivative, though there are others.
-
Lagrange's Notation. In the previous step, we used this notation to denote the derivative of a function by adding a prime symbol.
- This notation is pronounced " prime of " To form higher order derivatives, simply add another prime symbol. When derivatives of fourth or higher order are taken, the notation becomes where this represents the fourth derivative.
-
Leibniz's Notation. This is the other commonly used notation, and we will use it in the rest of the article.
- (For shorter expressions, the function can be placed in the numerator.) This notation literally means "the derivative of with respect to " It may be helpful to think of it as for values of and that are infinitesimally different from each other. When using this notation for higher derivatives, you must write where this represents the second derivative.
- (Note that there "should" be parentheses in the denominator, but no one ever writes them, since everyone understands what we mean without them anyway.)
Advertisement -
Lagrange's Notation. In the previous step, we used this notation to denote the derivative of a function by adding a prime symbol.
Method 2
Method 2 of 3:Basic Techniques
Using the Definition
-
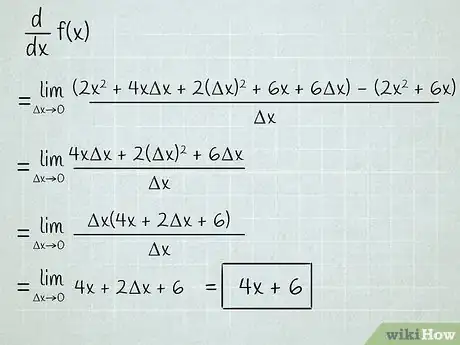
1Substitute into the function. For this example, we will define
-
2Substitute the function into the limit. Then evaluate the limit.
- This is a lot of work for such a simple function. We will see that there are plenty of derivative rules to skirt past this type of evaluation.
- You can find the slope anywhere on the function Simply plug in any x value into the derivative
Advertisement
The Power Rule
-
1Use the power rule[3] when is a polynomial function of degree n. Multiply the exponent with the coefficient and bring down the power by one.
- The formula is
- Although the intuitive method seems to only apply to natural number exponents, it can be generalized to all real numbers; that is,
-
2Use the previous example. Remember that
- We have used the property that the derivative of a sum is the sum of the derivatives (technically, the reason why we can do this is because the derivative is a linear operator). Obviously, the power rule makes finding derivatives of polynomials much easier.
- Before going on, it is important to note that the derivative of a constant is 0, because the derivative measures the rate of change, and no such change exists with a constant.
Advertisement
Higher Order Derivatives
-
1Differentiate again. Taking a higher order derivative of a function just means you take the derivative of the derivative (for order of 2). For example, if it asks you to take the third derivative, just differentiate the function three times.[4] For polynomial functions of degree the order derivative will be 0.
-
2Take the third derivative of the previous example .
- In most applications of derivatives, especially in physics and engineering, you will at most differentiate twice, or perhaps three times.
Advertisement
The Product and Quotient Rules
-
1See this article for a full treatment on the product rule. In general, the derivative of a product does not equal the product of the derivatives. Rather, each function "gets its turn" to differentiate.
-
2Use the quotient rule to take derivatives of rational functions. As with products in general, the derivative of a quotient does not equal the quotient of the derivatives.
- A useful mnemonic for the numerator of the derivative is "Down-dee-up, up-dee-down," since the minus sign means the order matters.
- For example, consider the function Let and Then use the quotient rule.
- Make sure your algebra is up to par. Derivatives involving quotients like these can quickly become cumbersome in terms of the algebra involved. This means you should be comfortable with factoring out constants and keeping track of negative signs.
Advertisement
The Chain Rule
-
1Use the chain rule[5] for nested functions. For example, consider the scenario where is a differentiable function of and is a differentiable function of Then there is a composite function or as a function of that we can take the derivative of.
- As with the product rule, this works with any number of functions; hence the "chain" rule. Here, an easy way to see how this works is if one imagines a inserted between
-
2Consider the function . Notice that this function can be decomposed into two elementary functions, and Then, we want to find the derivative of the composition
- Use the chain rule We have now written the derivative in terms of derivatives that are easier to take. Then,
- With practice, you will see that applying the chain rule is easiest if you "peel away the onion." The first layer is everything inside the parentheses, cubed. The second layer is the function inside the parentheses. When dealing with more complex functions, this way of thinking helps to keep yourself on track and not get lost in what functions are taken with respect to what variables, etc.
Advertisement
Other Important Derivatives
-
1See this article for a full treatment on implicit differentiation. Understanding the chain rule is a must in order to implicitly differentiate.
-
2See this article for a full treatment on differentiating exponential functions.
-
3Memorize basic trigonometric derivatives and how to derive them.Advertisement
Method 3
Method 3 of 3:Using a Calculator
-
1Press Alpha F2. This will open the “Window” key, where you’ll see lots of options. Scroll over to the FUNC tab if you aren’t there already.[6]
- These instructions are for new models of the TI-84 and the TI-84 Plus. Older models may be slightly different.
-
2Select nDeriv(. It’s the third option on the list. When you get to it, you can press “enter” to select it.[7]
-
3Enter your formula into the equation. When you hit the derivative option, your calculator will give you a blank equation that looks like this: . Go ahead and enter your specific numbers into the equation.[8]
- For example, if you were finding the derivative of the function where , you’d enter .
- If you have an equation plotted in the Y plots of your calculator, you can enter those into a blank field by pressing vars > Y-VARS > Function.
-
4Hit “enter” to find the derivative. Once you have all of your numbers entered, you can select “enter” on your calculator to get your answer. It will (hopefully) give you your answer in an easy to understand whole number.[9]
- For example, in the equation above, the derivative is 4.
Advertisement
Community Q&A
-
QuestionWhat is the derivative of x^0.09?
PimemorizedTop AnswererBy the power rule, you would first multiply the whole equation by the exponent, which is 0.09 so you get 0.09x^0.09. Then, you subtract the power by one, so it becomes 0.09x^(-.91). -
QuestionWhat is the second derivative of 1/x?
Community Answer2 x^-3 -
QuestionWhat is the derivative of a logarithmic function?
PimemorizedTop AnswererThe derivative of a log function is the derivative of the function divided by the function itself. For example, the derivative of log(x) would be the derivative of x is 1 divided by x, and so log(x) = 1/x. -
QuestionWhat is the derivative of X power of infinite X?
Community AnswerIt is infinity. -
QuestionIsn't 1/x for positive x the derivative of ln(x)? Wouldn't the derivative of log(x) be 1/(x*ln(10)) for x>0?
Mark LS5703724Community AnswerYes , it is. The base of log(x) is log base 10, 2nd, the formula is d/dx(log_a(X) = 1/xln(a) and after substituting the value of a into the equation, we will get 1/x(ln(a)).
Warnings
- Some students will be tempted to use programs on their calculators to take derivatives. While these programs are very useful for confirming your answers, you should not rely on these. Make sure you understand the concepts of deriving and are able to do it yourself.Thanks!
References
- ↑ https://www.ugrad.math.ubc.ca/coursedoc/math100/notes/derivs/deriv5.html
- ↑ https://activecalculus.org/single/sec-1-3-derivative-pt.html
- ↑ https://www.khanacademy.org/math/in-in-grade-11-ncert/in-in-class11-differentiation/copy-of-radical-functions-differentiation-intro-ab/a/power-rule-review
- ↑ http://tutorial.math.lamar.edu/Classes/CalcI/HigherOrderDerivatives.aspx
- ↑ https://www.khanacademy.org/math/ap-calculus-ab/ab-differentiation-2-new/ab-3-1a/a/chain-rule-review
- ↑ https://www.youtube.com/watch?v=BvgZHvBzLqs&feature=youtu.be&t=15
- ↑ https://www.youtube.com/watch?v=BvgZHvBzLqs&feature=youtu.be&t=20
- ↑ https://www.youtube.com/watch?v=u-HiRI8HbvI&feature=youtu.be&t=137
- ↑ https://www.youtube.com/watch?v=u-HiRI8HbvI&feature=youtu.be&t=226
About This Article
To take the derivative of a function by using the definition, substitute x plus delta x into the function for each instance of x. Then, substitute the new function into the limit, and evaluate the limit to find the derivative. If you're finding the derivative of a polynomial with a function to the degree of n, use the power rule by multiplying the coefficient by the exponent and subtracting 1 from the exponent to lower the power by one. After that, simplify the limit to find the derivative of the equation. For tips on how to do high-order derivatives and use the product and quotient rule, read on!






























































![{\displaystyle (d/d[])([])|x=[]}](./images/1354702304-431203acba25733592613e15960051693b356311.webp)




















