X
wikiHow is a “wiki,” similar to Wikipedia, which means that many of our articles are co-written by multiple authors. To create this article, volunteer authors worked to edit and improve it over time.
This article has been viewed 17,244 times.
Learn more...
When you change the location or shape of a graph by changing the basic function (often called a parent function), we call that a transformation. Functions can get pretty complex and go through transformations, like reflections along the x- or y-axis, shifts, stretching and shrinking, making the usual graphing techniques difficult. We'll show you how to identify common transformations so you can correctly graph transformations of functions.
Steps
-
1Write the function given. Although it may seem silly, you always write out the function given so you can refer back to it.
-
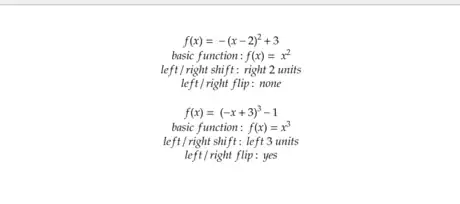
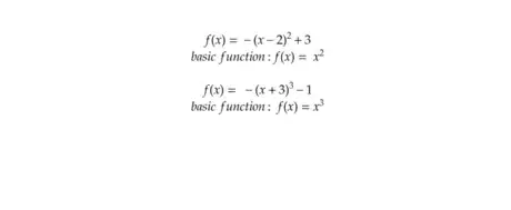
2Determine the basic function. The basic function is just the function in its natural state. Its natural state is the function without any transformations.
- The basic function of, , is just
- The basic function of, , is just
-
3Graph the basic graph. By determining the basic function, you can graph the basic graph. The basic graph is exactly what it sounds like, the graph of the basic function. The basic graph can be looked at as the foundation for graphing the actual function. The basic graph will be used to develop a sketch of the function with its transformations.
- For the basic function, , its basic graph is just a parabola.
-
4Determine the left/right shift. The left/right shift determines whether the graph will shift to the right or left c units, where c is just used as a variable representing any number.
- In a function where c is added to the variable of the function, meaning the function becomes , the basic graph will shift to the left c units.
- In a function where c is subtracted from the variable of the function, meaning the function becomes , the basic graph will shift to the right c units.
- For the function , the basic graph will shift to the right 2 units.
- For the function , the basic graph will shift to the left 3 units.
-
5Include the left/right shift in the basic graph. Now that you have determined the function left/right shift, you must redraw the basic graph including the left/right shift.
- If your function is it has a right shift 2 units. The redrawn basic graph will shift to the right 2 units
- If your function is it has a left shift 3 units. The redrawn basic graph will shift to the left 3 units.
-
6Determine the left/right flip. The left/right flip determines if the graph will flip over the y-axis. This flip means the original graph will be flipped the opposite direction across the y-axis, either to left or right.
- If the variable of the function is multiplied by -1, meaning the function becomes , the basic graph will flip across the y-axis.
- For the function , the basic graph will not flip across the y-axis because the variable of the function is not multiplied by -1.
- For the function , the basic graph will flip across the y-axis because the variable of the function is multiplied by -1.
-
7Include the left/right flip in the graph. Now that you have determined if the graph has a left/right flip, you must the flip to the basic graph including the left/right shift. All this means is that graph of the basic graph will be redrawn with the left/right shift and left/right flip.
- For the function , it will flip across the y-axis so the redrawn basic graph will now include the left shift 3 units as well as flip across the y-axis.
-
8Determine the up/down flip. The up/down flip determines if the graph will be flipped across the x-axis. This flip means that the original graph will flip the opposite direction across the x-axis, either up or down.
- If the entire function is multiplied by -1, meaning the function becomes , the basic graph will flip across the x-axis.
- For the function , it will flip across the x-axis because the entire function is multiplied by -1.
- For the function it will not flip across the x-axis because the entire function is not multiplied by -1.
-
9Include the up/down flip in the graph. Now that you have determined if the function has an up/down flip, you must redraw the basic graph including the left/right shift, , if needed, the left/right flip, and up/down flip.
- For the function , the redrawn basic graph will shift to the right 2 units and flip across the x-axis.
-
10Determine the up/down shift. The up/down shift determines if the graph will be shifted up or down c units, where c is variable representing a number.
- In a function where c is added to the entire function, meaning the function becomes , the basic graph will shift up c units.
- In a function where c is subtracted from the entire function, meaning the function becomes , the basic graph will shift down c units.
- For the function , the basic graph will shift up 3 units.
- For the function , the basic graph will shift down 1 unit.
-
11Include the up/down shift in the graph. Now that you have determined the up/down shift, you must redraw the basic graph include the left/right shift, left/right flip and/or up/down flip, and the up/down shift.
- For the function , the redrawn basic graph will shift to the right 2 units, flip across the x-axis, and shift up 3 units.
- For the function , the redrawn basic graph will shift to the left 3 units, flip across the y-axis, and shift down 1 unit.
-
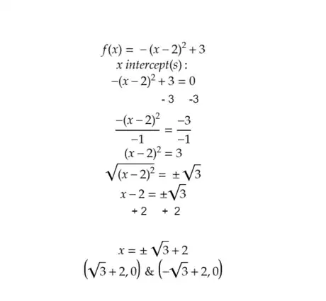
12Find the x-intercept(s). Now that you have a sketch of what the function looks like with its transformations, you must find where the function touches the x-axis or its x-intercept(s). A x-intercept is just an ordered pair,(x,y), where y is always 0.
- To find the x-intercepts, you set the entire function to zero and solve for x.
- For the function , let's find the x-intercepts:
-
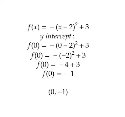
13Find the y-intercept. Now that you have found your functions x-intercept(s), you need to find where the function cross the y-axis or its y-intercept. A y-intercept is just an ordered pair, , where x is always 0.
- To find a functions y-intercept, you set x=0 and find .
- For the function , let's find its y-intercept:
-
14Include the x and y intercepts in the graph. Now that you have a sketch of the functions graph and found the functions x-intercept(s) and y-intercept, your final step is to redraw the graph in step 11 including each x and y intercepts.
- For the function , the graph of function shifts to the right 2 units, flips across the x-axis, shifts up 3 units, crosses the x-axis at & , and crosses the y-axis at .












































































